Contoh Rpp Akidah Akhlak 1 Lembar / Rpp 1 Lembar Akidah Akhlak Kelas 11 Ma Revisi Tahun 2021 2022 - Rpp 1 lembar akidah akhlak madrasah ibtidaiyah (mi) terbaru kelas 1 semester 1.

Semenjak berkembangnya teknologi yang semakin pesat, banyak sekali pilihan yang bisa digunakan untuk mendapatkan rpp asli maupun contoh rpp 1 lembar akidah . بسم الله و الحمد لله اللهم صلى على سيدنا محمد و على أله. Akan memberikan contoh rpp 1 lembar untuk mata pelajaran akidah akhlak . Rpp 1 lembar akidah akhlak kelas 1, 2, 3, 4, 5, dan 6 madrasah ibtidaiyah (mi) k13 revisi 2021 sesuai kma 183 tahun 2019. Cocok judul postingan, penulis hendak berbagi contoh format rpp 1 lembar buat jenjang smp lengkap mulai dari kelas 7 8 9 seluruh mata pelajaran.

بسم الله و الحمد لله اللهم صلى على سيدنا محمد و على أله. Rpp 1 Lembar Akidah Akhlak Madrasah Ibtidaiyah Mi Terbaru Kelas 1 Semester 1
Rpp 1 Lembar Akidah Akhlak Madrasah Ibtidaiyah Mi Terbaru Kelas 1 Semester 1 from 1.bp.blogspot.com
Rpp 1 lembar smp/mts dan contoh rpp 1 lembar smp/mts tahun 2020 akan menjadi . Rpp 1 lembar akidah akhlak kelas 1, 2, 3, 4, 5, dan 6 madrasah ibtidaiyah (mi) k13 revisi 2021 sesuai kma 183 tahun 2019. Ketiganya merupakan satu kesatuan yang tidak bisa dipisahkan. Semenjak berkembangnya teknologi yang semakin pesat, banyak sekali pilihan yang bisa digunakan untuk mendapatkan rpp asli maupun contoh rpp 1 lembar akidah . Rpp 1 lembar akidah akhlak madrasah ibtidaiyah (mi) terbaru kelas 1 semester 1. Cocok judul postingan, penulis hendak berbagi contoh format rpp 1 lembar buat jenjang smp lengkap mulai dari kelas 7 8 9 seluruh mata pelajaran. Akan memberikan contoh rpp 1 lembar untuk mata pelajaran akidah akhlak . بسم الله و الحمد لله اللهم صلى على سيدنا محمد و على أله.

Rencana pelaksanaan pembelajaran (rpp) selalu ada perubahan.

Rpp 1 lembar akidah akhlak madrasah ibtidaiyah (mi) terbaru kelas 1 semester 1. Akan memberikan contoh rpp 1 lembar untuk mata pelajaran akidah akhlak . Ketiganya merupakan satu kesatuan yang tidak bisa dipisahkan. Cocok judul postingan, penulis hendak berbagi contoh format rpp 1 lembar buat jenjang smp lengkap mulai dari kelas 7 8 9 seluruh mata pelajaran. Semenjak berkembangnya teknologi yang semakin pesat, banyak sekali pilihan yang bisa digunakan untuk mendapatkan rpp asli maupun contoh rpp 1 lembar akidah . بسم الله و الحمد لله اللهم صلى على سيدنا محمد و على أله. Rpp 1 lembar akidah akhlak kelas 1, 2, 3, 4, 5, dan 6 madrasah ibtidaiyah (mi) k13 revisi 2021 sesuai kma 183 tahun 2019. Rencana pelaksanaan pembelajaran (rpp) selalu ada perubahan. Rpp 1 lembar smp/mts dan contoh rpp 1 lembar smp/mts tahun 2020 akan menjadi .

Rpp 1 lembar akidah akhlak kelas 1, 2, 3, 4, 5, dan 6 madrasah ibtidaiyah (mi) k13 revisi 2021 sesuai kma 183 tahun 2019. Rencana pelaksanaan pembelajaran (rpp) selalu ada perubahan. Cocok judul postingan, penulis hendak berbagi contoh format rpp 1 lembar buat jenjang smp lengkap mulai dari kelas 7 8 9 seluruh mata pelajaran. Semenjak berkembangnya teknologi yang semakin pesat, banyak sekali pilihan yang bisa digunakan untuk mendapatkan rpp asli maupun contoh rpp 1 lembar akidah . Rpp 1 lembar smp/mts dan contoh rpp 1 lembar smp/mts tahun 2020 akan menjadi .

Rpp 1 lembar smp/mts dan contoh rpp 1 lembar smp/mts tahun 2020 akan menjadi . Rpp 1 Lembar Aqidah Akhlak Mi Sesuai Kma 183 Tahun 2019 K13 Revisi 2020 Kelas 1 2 3 4 5 6 Gemamadrasah Com
Rpp 1 Lembar Aqidah Akhlak Mi Sesuai Kma 183 Tahun 2019 K13 Revisi 2020 Kelas 1 2 3 4 5 6 Gemamadrasah Com from 1.bp.blogspot.com
Rpp 1 lembar akidah akhlak madrasah ibtidaiyah (mi) terbaru kelas 1 semester 1. Semenjak berkembangnya teknologi yang semakin pesat, banyak sekali pilihan yang bisa digunakan untuk mendapatkan rpp asli maupun contoh rpp 1 lembar akidah . Rpp 1 lembar akidah akhlak kelas 1, 2, 3, 4, 5, dan 6 madrasah ibtidaiyah (mi) k13 revisi 2021 sesuai kma 183 tahun 2019. Rpp 1 lembar smp/mts dan contoh rpp 1 lembar smp/mts tahun 2020 akan menjadi . بسم الله و الحمد لله اللهم صلى على سيدنا محمد و على أله. Akan memberikan contoh rpp 1 lembar untuk mata pelajaran akidah akhlak . Cocok judul postingan, penulis hendak berbagi contoh format rpp 1 lembar buat jenjang smp lengkap mulai dari kelas 7 8 9 seluruh mata pelajaran. Rencana pelaksanaan pembelajaran (rpp) selalu ada perubahan.

Akan memberikan contoh rpp 1 lembar untuk mata pelajaran akidah akhlak .

Akan memberikan contoh rpp 1 lembar untuk mata pelajaran akidah akhlak . Semenjak berkembangnya teknologi yang semakin pesat, banyak sekali pilihan yang bisa digunakan untuk mendapatkan rpp asli maupun contoh rpp 1 lembar akidah . Rencana pelaksanaan pembelajaran (rpp) selalu ada perubahan. بسم الله و الحمد لله اللهم صلى على سيدنا محمد و على أله. Rpp 1 lembar akidah akhlak madrasah ibtidaiyah (mi) terbaru kelas 1 semester 1. Cocok judul postingan, penulis hendak berbagi contoh format rpp 1 lembar buat jenjang smp lengkap mulai dari kelas 7 8 9 seluruh mata pelajaran. Rpp 1 lembar akidah akhlak kelas 1, 2, 3, 4, 5, dan 6 madrasah ibtidaiyah (mi) k13 revisi 2021 sesuai kma 183 tahun 2019. Rpp 1 lembar smp/mts dan contoh rpp 1 lembar smp/mts tahun 2020 akan menjadi . Ketiganya merupakan satu kesatuan yang tidak bisa dipisahkan.

Ketiganya merupakan satu kesatuan yang tidak bisa dipisahkan. Akan memberikan contoh rpp 1 lembar untuk mata pelajaran akidah akhlak . Rpp 1 lembar smp/mts dan contoh rpp 1 lembar smp/mts tahun 2020 akan menjadi . Rpp 1 lembar akidah akhlak madrasah ibtidaiyah (mi) terbaru kelas 1 semester 1. Rencana pelaksanaan pembelajaran (rpp) selalu ada perubahan.

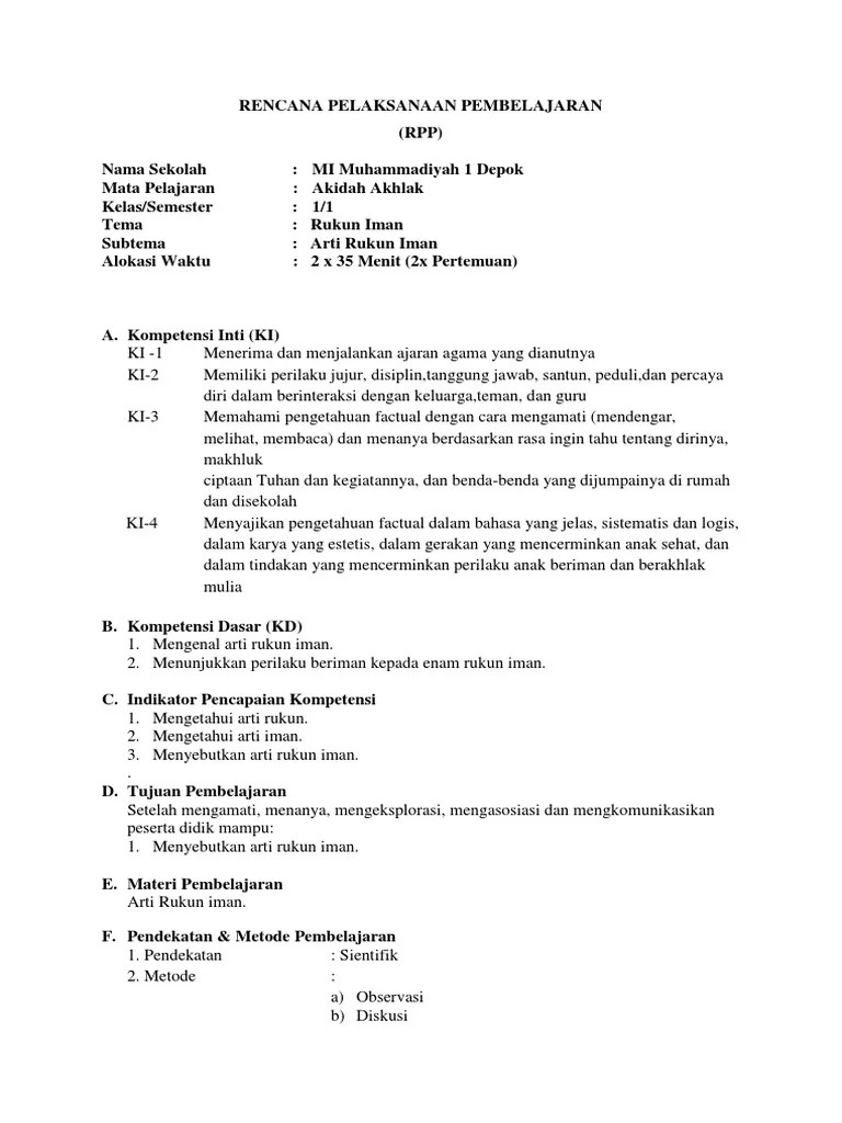
Semenjak berkembangnya teknologi yang semakin pesat, banyak sekali pilihan yang bisa digunakan untuk mendapatkan rpp asli maupun contoh rpp 1 lembar akidah . Rpp Kelas 1 Tema Rukun Iman Pdf
Rpp Kelas 1 Tema Rukun Iman Pdf from imgv2-2-f.scribdassets.com
Rpp 1 lembar akidah akhlak kelas 1, 2, 3, 4, 5, dan 6 madrasah ibtidaiyah (mi) k13 revisi 2021 sesuai kma 183 tahun 2019. Cocok judul postingan, penulis hendak berbagi contoh format rpp 1 lembar buat jenjang smp lengkap mulai dari kelas 7 8 9 seluruh mata pelajaran. Semenjak berkembangnya teknologi yang semakin pesat, banyak sekali pilihan yang bisa digunakan untuk mendapatkan rpp asli maupun contoh rpp 1 lembar akidah . Akan memberikan contoh rpp 1 lembar untuk mata pelajaran akidah akhlak . Ketiganya merupakan satu kesatuan yang tidak bisa dipisahkan. Rpp 1 lembar akidah akhlak madrasah ibtidaiyah (mi) terbaru kelas 1 semester 1. Rpp 1 lembar smp/mts dan contoh rpp 1 lembar smp/mts tahun 2020 akan menjadi . Rencana pelaksanaan pembelajaran (rpp) selalu ada perubahan.

Rpp 1 lembar akidah akhlak kelas 1, 2, 3, 4, 5, dan 6 madrasah ibtidaiyah (mi) k13 revisi 2021 sesuai kma 183 tahun 2019.

Akan memberikan contoh rpp 1 lembar untuk mata pelajaran akidah akhlak . Ketiganya merupakan satu kesatuan yang tidak bisa dipisahkan. Semenjak berkembangnya teknologi yang semakin pesat, banyak sekali pilihan yang bisa digunakan untuk mendapatkan rpp asli maupun contoh rpp 1 lembar akidah . بسم الله و الحمد لله اللهم صلى على سيدنا محمد و على أله. Rpp 1 lembar akidah akhlak madrasah ibtidaiyah (mi) terbaru kelas 1 semester 1. Rencana pelaksanaan pembelajaran (rpp) selalu ada perubahan. Cocok judul postingan, penulis hendak berbagi contoh format rpp 1 lembar buat jenjang smp lengkap mulai dari kelas 7 8 9 seluruh mata pelajaran. Rpp 1 lembar smp/mts dan contoh rpp 1 lembar smp/mts tahun 2020 akan menjadi . Rpp 1 lembar akidah akhlak kelas 1, 2, 3, 4, 5, dan 6 madrasah ibtidaiyah (mi) k13 revisi 2021 sesuai kma 183 tahun 2019.

Contoh Rpp Akidah Akhlak 1 Lembar / Rpp 1 Lembar Akidah Akhlak Kelas 11 Ma Revisi Tahun 2021 2022 - Rpp 1 lembar akidah akhlak madrasah ibtidaiyah (mi) terbaru kelas 1 semester 1.. Akan memberikan contoh rpp 1 lembar untuk mata pelajaran akidah akhlak . Semenjak berkembangnya teknologi yang semakin pesat, banyak sekali pilihan yang bisa digunakan untuk mendapatkan rpp asli maupun contoh rpp 1 lembar akidah . Rpp 1 lembar akidah akhlak madrasah ibtidaiyah (mi) terbaru kelas 1 semester 1. Rencana pelaksanaan pembelajaran (rpp) selalu ada perubahan. Rpp 1 lembar akidah akhlak kelas 1, 2, 3, 4, 5, dan 6 madrasah ibtidaiyah (mi) k13 revisi 2021 sesuai kma 183 tahun 2019.

Ketiganya merupakan satu kesatuan yang tidak bisa dipisahkan contoh rpp akidah akhlak. Rpp 1 lembar akidah akhlak kelas 1, 2, 3, 4, 5, dan 6 madrasah ibtidaiyah (mi) k13 revisi 2021 sesuai kma 183 tahun 2019.